Die Inhalte dieser Seite sind Bestandteil des Einsatzleiterwiki-Projekts. Sie wurden nicht speziell für Ihre Feuerwehr ausgearbeitet, möglicherweise existieren abweichende Regelungen.
Strahlenschutzberechnungen
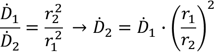
Abstandsgesetz
maßgeblich zugrunde liegende Formel für die Berechnung mit dem Abstandsgesetz
Aufenthaltsdauer
maßgeblich zugrunde liegende Formel für die Berechnung der Aufenthaltsdauer
Berechnung der erlaubten Dosisleistung aus der Transportkennziffer
Abschätzung der Dosisleistung bei bekannter Aktivität des Strahlers
Umrechnung der Dosisleistung
Umrechnung der Aktivität
Umrechnung der Zeitdauer
Quellenangabe
- Ausbildungsunterlagen Lehrgang ABC 1 an der LFKS Rheinland-Pfalz im August 2007

